Click Here to View Map of Proposition HHH Projects.
Executive Summary
Tens of thousands of people spend each night in Los Angeles living on the streets, in temporary shelters, or in parked vehicles. Recently published data shows the crisis is becoming increasingly tragic throughout the region – more than 1,000 people experiencing homelessness in Los Angeles County will likely die this year. The City, County, and service providers have sought to address the homelessness crisis through a combination of strategies, including street outreach and placement in temporary shelters or supportive housing – but it has been a particularly difficult challenge.
Supportive housing is generally considered an effective strategy that combines subsidized housing with resources such as mental and physical health services, education and job training, and drug and alcohol treatment. Temporary shelters and other support facilities are also important tools because they can be used as a stopgap until housing becomes available. Getting people off the streets requires increasing the supply of available housing units and shelter beds as quickly as possible.
Nearly 80 percent of voters approved Proposition HHH in November 2016. Proposition HHH authorized the City to issue $1.2 billion in general obligation bonds to partially subsidize the development of up to 10,000 supportive housing units for individuals and families who are experiencing homelessness or are at risk of becoming homeless.[1] Proposition HHH funds can also be used to develop affordable (i.e., income-restricted) housing units and facilities such as shelters, clinics, storage, and showers.[2]
Proposition HHH funds typically subsidize approximately 30 percent of a project’s total development costs. On a per unit basis, the maximum allowable Proposition HHH subsidy for supportive housing was $140,000 per unit during the most recent funding cycle and $220,000 per unit for previous funding cycles. The remaining funding comes from a combination of private sources and other public entities such as the federal government, State of California, or Los Angeles County. Regardless of the funding source, it is critical that the City and developers work together to minimize development costs in order to build as many housing units as possible.
The City has prioritized using Proposition HHH funds to develop long-term solutions such as supportive and affordable housing. A much smaller share of Proposition HHH funding has been set aside to build facilities – such as shelters – that can help mitigate the homelessness crisis until supportive housing units are completed.[3]
As of September 30, 2019, the City has conditionally awarded nearly the entire amount authorized by the Proposition HHH ballot measure. There are additional projects seeking conditional funding which, if approved, will commit all remaining Proposition HHH funds.[4]
The City’s stated goal for the number of units to be built using Proposition HHH funds lacks clarity. Although the number of units did not appear in the language of the ballot measure, the development of 10,000 supportive housing units through Proposition HHH is generally understood as the target and appears on the Mayor’s website and City Council documents.[5]
In contrast, the City’s Housing and Community Investment Department (HCIDLA), which is tasked with administering the program, has noted that Proposition HHH was intended to augment ongoing efforts to build supportive housing. HCIDLA’s plan is to deliver a total of 10,000 supportive housing units within ten years through separate development pipelines – 7,000 through Proposition HHH and 3,000 through non-Proposition HHH sources.
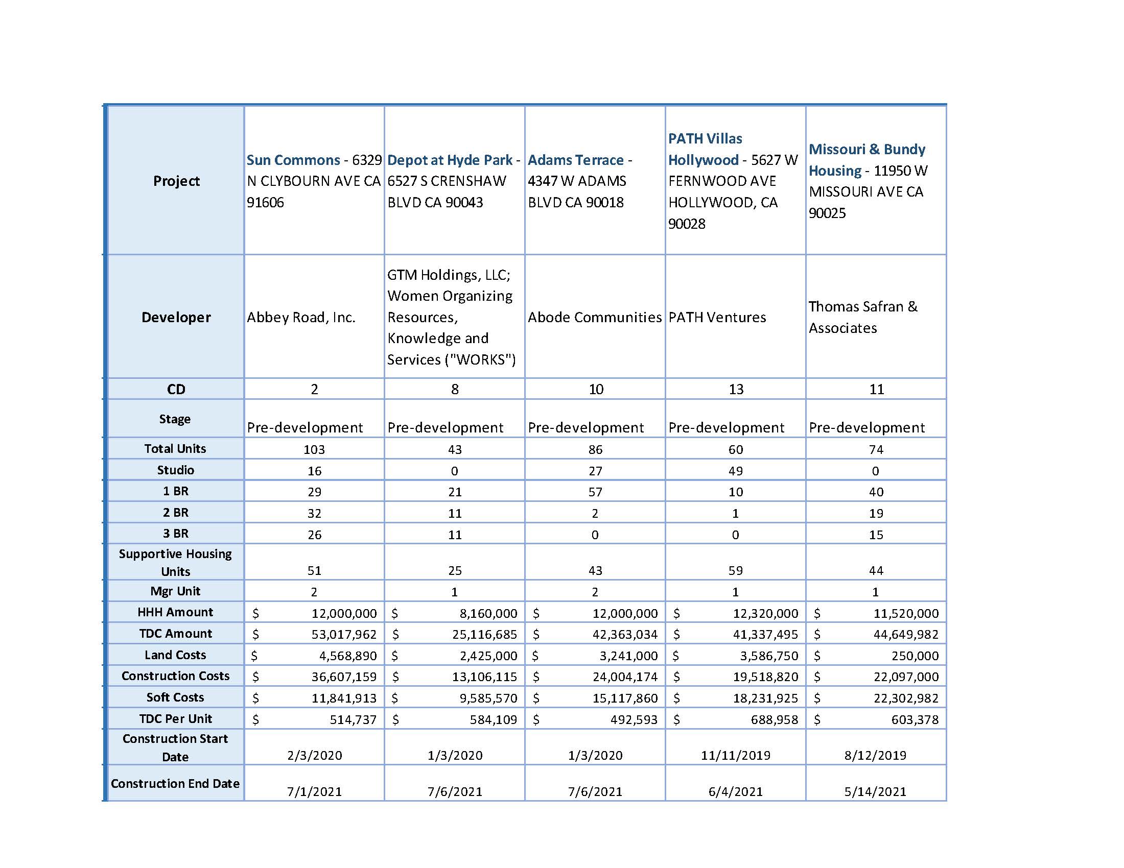
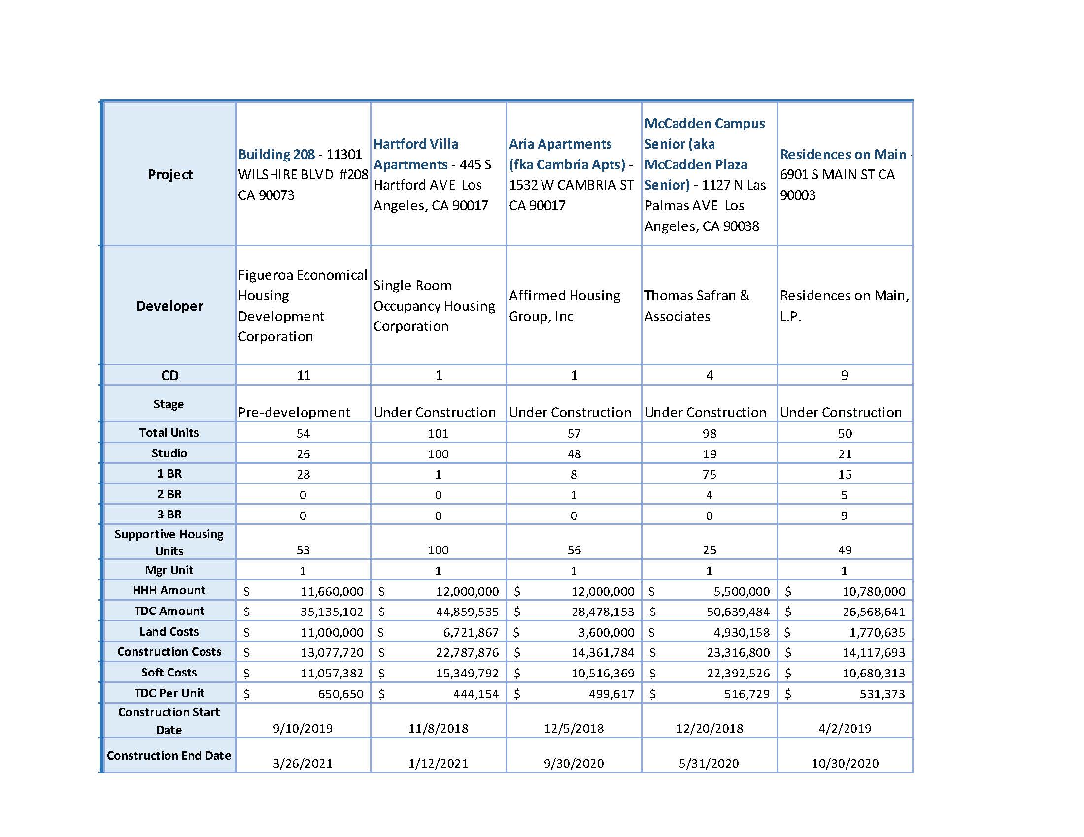
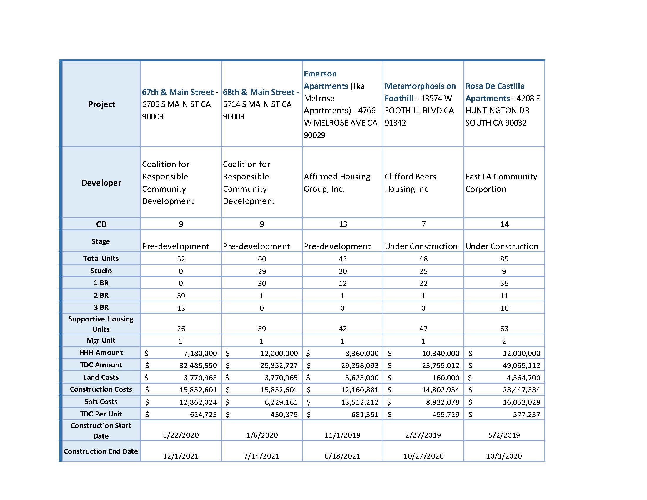
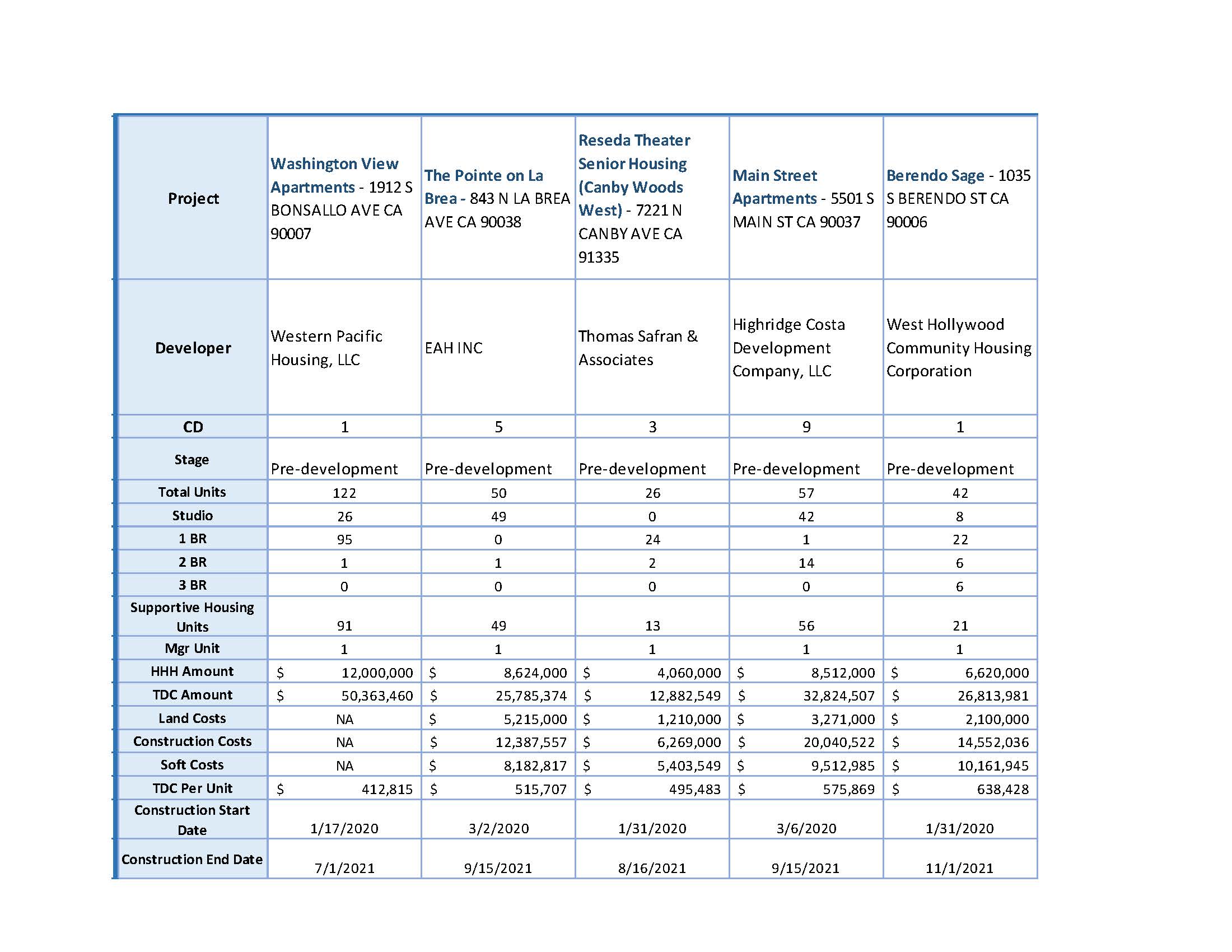
Assuming all of the pending projects are approved, Proposition HHH will provide 7,640 total housing units, of which 5,873 will be supportive housing.[6] The following graphic provides and overview of these projects.

The large majority of projects are currently – or will soon be – in various stages of “pre-development,” which includes activities such as assembling funding, securing land use approval, and obtaining building permits. Three years into Proposition HHH, only two projects (117 total units, 74 supportive units) currently under construction are scheduled to be completed by the end of 2019. Meanwhile, tens of thousands of Angelenos experiencing homelessness continue to suffer in dangerous conditions.
The performance of the program to date indicates that progress has been slow, and costs are high.
- The estimated timeline for completing a project from start to finish (i.e., conceptualization to occupancy) ranges from three to six years.
- The City’s Comprehensive Homelessness Strategy (January 2016) estimated that the cost of building each studio/one-bedroom unit would be $350,000, and the cost of a two-bedroom unit or larger would be $414,000. While construction costs have increased across-the-board since these estimates were developed, the current costs far exceed the original projections.
- The current median cost per unit for projects in the Proposition HHH pipeline is $531,373, and more than 1,000 units are projected to exceed $600,000.[7] One project includes units estimated at more than $700,000.[8]
- The median cost of building many of these units approaches – and in many cases, exceeds – the median sale price of a condominium in the City of Los Angeles ($546,000) and of a single-family home in Los Angeles County ($627,690).

- The cost of land in Los Angeles is often cited as a significant cost driver for Proposition HHH housing developments, but data provided by the City’s Housing and Community Investment Department (HCIDLA) shows that this point is likely overstated relative to the other categories for projects currently under construction.[9]
Developers are spending approximately 40 percent of overall project costs on soft cost components such as fees, consultants, and financing. These costs are nearly as much as the cost of labor and materials to build Proposition HHH-funded housing developments.
- In July 2017, the City issued the first Proposition HHH bond ($86.4 million). Because the program was in its early stages and projects were in pre-development, only $3.7 million in bond proceeds were spent during that fiscal year. Rather than spending down the available funds from the first bond issuance, the City issued the second Proposition HHH bond (valued at $276.2 million) in July 2018.
Because the second bond was issued too early, City taxpayers incurred approximately $5.2 million in unnecessary interest payments through June 2019 – without the expected project benefits. This concept, known as “negative arbitrage,” occurs when the interest rate a borrower pays on its debt is higher than the interest rate the borrower earns on the monies deposited or invested.
- No single City department is responsible for program-wide Proposition HHH accounting decisions. The lack of centralized authority may present challenges in the future, as additional funds are spent.
There are a number of factors that contribute to high costs and lengthy development timelines, such as funding complexity, regulatory barriers, a limited pool of eligible developers, labor costs, and cumbersome and lengthy permitting processes. Even as the City solicited and developed ideas to tackle these issues in more innovative ways, it continued to award Proposition HHH funds before some of the ideas could fully blossom.
- The Proposition HHH Challenge, initiated in January 2019, identified alternative construction and financing approaches that were not previously feasible under existing program regulations. The City recently identified six projects that aim to provide 975 supportive housing units within approximately two years. The proposed projects estimate unit costs between $200,000 and $479,000, and an average of $351,965 per unit.
The projects are pending City approval and feature modular construction, shared housing, and simplified financing. If successful, these approaches have the potential to significantly lower costs and shorten development timelines. Given that some of these projects are a departure from the traditional supportive housing model, it is unclear whether future funding allocations from the State and the federal government will embrace these innovative approaches.
- The City passed the Permanent Supportive Housing Ordinance in April 2018 to reduce project costs and speed up land use approvals for Proposition HHH-funded projects. Existing land use entitlements such as the State’s Density Bonus program or the City’s Transit-Oriented Communities (TOC) program can be used to accomplish similar goals.[10] However, these pathways do not account for the unique characteristics of supportive housing projects (e.g., smaller units, space for supportive services).
Almost immediately after the ordinance was passed, lawsuits were filed against the City. As a result, projects in the Proposition HHH development pipeline have been unable to take advantage of the tailored benefits offered by the ordinance, such as higher thresholds for site plan reviews and increased allowable density.
The City recently partnered with the State and crafted a bill (AB 1197) to make it easier to build supportive housing and emergency shelters without fulfilling certain requirements of the California Environmental Quality Act (CEQA).[11] According to the City, the legislation will increase the likelihood that the lawsuit against the Permanent Supportive Housing Ordinance will be dismissed or otherwise favorably resolved.
- The Mayor’s Executive Directive #13 (issued in October 2015) sought to facilitate streamlined and prioritized case processing for all affordable housing developments. Despite the existence of the directive and other efforts to expedite projects, external stakeholders and respondents to a Proposition HHH survey (January 2019) provided critical feedback that much more work needed to be done. One survey respondent described the City’s permitting processes as a “nightmare.”
The City recently hired a dedicated staffer (“HHH Concierge”) to streamline permitting processes and ensure that Proposition HHH-funded projects are prioritized within each department’s existing workflow. In addition, the HHH Concierge is tasked with developing a tracking system to improve information sharing and notification protocols across City departments.
This is an encouraging development, but the City’s longstanding challenges with these issues are well-established and suggests that this should have occurred far sooner.
The performance of the program to date indicates that a course correction is required before it is too late. Although the City has conditionally awarded nearly the entire pool of funds authorized by the ballot measure, there still may be opportunities to maximize Proposition HHH funds. Most Proposition HHH housing developments are in the early to middle stages of pre-development, and therefore, formal loan agreements (i.e., contracts) have not been executed. The absence of a contract raises an important question – can the City reallocate funding to a different project or require developers to modify previously-approved projects?
Recent events – such as the Proposition HHH Challenge and the potential of the City’s Permanent Supportive Housing Ordinance – suggest that previously-approved projects may warrant a fresh look. Making significant changes to projects that are at the latter stages of the pre-development process may not be feasible. However, the City should encourage developers to emulate what has been successful in other projects and incorporate emerging approaches to reducing Proposition HHH project costs and development timelines.
City Policymakers should consider the following recommendations in order to confront the growing magnitude and urgency of the homelessness crisis in Los Angeles.
Recommendation #1
Evaluate the feasibility of reallocating some Proposition HHH funds that have been conditionally funded, especially funds committed to housing projects with outlier development costs. This may free up funding for projects with lower per-unit costs or for temporary shelters and other facilities.
- If shared housing, prefabricated construction, or simplified financing are demonstrated to be meaningful and scalable strategies through the Proposition HHH Challenge, allow developers that have been previously awarded Proposition HHH funding to modify their project proposals.
- If AB 1197 facilitates timely resolution of ongoing litigation challenging the City’s Permanent Supportive Housing Ordinance, allow and encourage developers to reconfigure previously-approved HHH projects so that the unique characteristics of supportive housing units are incorporated into land use approvals.
- If previously-committed Proposition HHH funding becomes available, prioritize the development of facilities such as shelters, clinics, storage, and showers to help better manage the immediate needs of Angelenos experiencing homelessness.
Recommendation #2
Support the Proposition HHH Concierge’s efforts to streamline permitting and other processes to ensure that projects that are currently – or soon will be – in the development pipeline are completed as quickly as possible.
- Require City departments not covered by Executive Directive #13 (e.g., Water and Power, Fire, Engineering) to publicly and regularly report their progress on moving Proposition HHH housing developments to completion.
- If necessary, consider adding dedicated staff (either in City departments or on the Housing Crisis Response Team) to focus on these issues.
Recommendation #3
City Policymakers should formally establish centralized accounting authority for the Proposition HHH program.












































